随着细胞治疗领域的快速发展,In Vivo CAR-T(体内CAR-T)疗法成为行业新焦点。与传统体外制备CAR-T不同,这项技术只需向患者体内注射携带CAR基因的病毒载体,便能直接在体内“就地”改造T细胞,大大简化治疗流程,为患者争取宝贵时间。
01 巨头押注,In Vivo CAR-T站上风口
2025年,In Vivo CAR-T领域捷报频传:阿斯利康以总价10亿美元收购EsoBiotec,将其工程化纳米抗体慢病毒平台收入囊中;艾伯维则以高达21亿美元全现金收购了专注于该领域的Capstan Therapeutics。
巨头的巨额押注,凸显了In Vivo CAR-T的巨大潜力。相比传统体外CAR-T,其优势显著:
1 流程简化
摆脱复杂的个体化生产流程,患者无需经历细胞采集、体外改造、扩增回输等漫长过程。
2 成本降低
治疗成本有望大幅下降,让更多患者受益。
专家观点:易慕峰生物研发中心负责人郝瑞栋博士指出:“我们的全新In Vivo技术平台,成功打破了国外企业在关键元件上的专利壁垒。”
临床层面,易慕峰基于慢病毒载体的平台已在临床前展现出出色性能。而EsoBiotec的ESO-T01作为第1个进入人体试验的体内BCMA CAR-T候选药物,在复发/难治性多发性骨髓瘤患者中实现了100%的客观缓解率,成果令人鼓舞。
表1:In Vivo与Allo CAR-T核心特点与临床进展对比表

图1:稳转细胞系构建路线图
图2:在摇瓶中通过瞬时转染和稳定生产细胞系获得慢病毒载体滴度图。各点表示9个摇瓶中每个的滴度
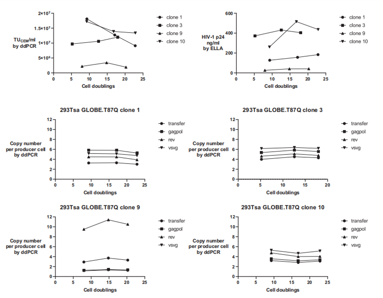
图3:克隆在超过20个细胞倍增的过程中,功能滴度(TU/mL)和物理滴度(p24)保持稳定。