文章

GBXeFAstLab水分活度仪评价热风干燥对苹果切片的影响

2026-04-24     来源:本站     点击次数:116


土耳其帕穆卡莱大学食品工程系的Engin Demiray团队在《Journal of Food Quality》期刊上发表了题为“The Effect of Drying Temperature and Thickness on the Drying Kinetic, Antioxidant Activity, Phenolic Compounds, and Color Values of Apple Slices”的研究论文。该研究探讨了热风干燥过程中不同干燥温度(45、55、65°C)和苹果切片厚度(1.5 mm和5 mm)对干燥动力学、抗氧化活性、总酚类化合物以及颜色变化的影响。

摘要
水果干片是重要、健康且受欢迎的零食,因其高营养含量而日益受到重视。在此背景下,本研究主要关注生产健康苹果脆片零食,并测定在三种不同温度(45、55和65°C)和样品厚度(1.5和5 ± 0.5 mm)的对流热风干燥过程中,抗氧化活性、总酚类化合物和苹果脆片零食颜色值的降解动力学。同时计算了干燥动力学、解吸等温线、活化能和苹果脆片零食的半衰期。Page模型和GAB模型分别是确定苹果零食干燥行为(R² > 0.992)和解吸行为(R² > 0.9979)的最佳模型,具有最高的R²值。所有样品的干燥均发生在降速阶段。有效水分扩散系数(D_eff)值随空气温度和切片厚度的增加而增加。厚度为5 mm样品的抗氧化活性、总酚类化合物和总颜色变化遵循一级反应动力学。在厚度(1.5 mm)和温度(45°C)较低的条件,观察到了较高的抗氧化活性、酚类化合物、L值以及较低的半衰期值。计算得到的总酚类化合物的活化能值高于抗氧化活性的活化能值。结果表明,选择低温低切片厚度可以生产出高营养价值的苹果脆片零食。
 
实验材料与仪器
实验材料
苹果(储存条件:4°C冰箱中保存至干燥实验开始)
试剂:70%乙醇、甲醇、DPPH(2,2-二苯基-1-苦基肼)、Trolox、Folin-Ciocalteu试剂、碳酸钠、没食子酸。
 
实验仪器
干燥柜、游标卡尺、 GBX eFAst Lab水分活度仪、超声水浴、轨道摇床、离心机、分光光度计、色差仪、分析天平

 
 
 GBX eFAst Lab水分活度仪
 
实验过程
样品准备:苹果清洗、去皮、去除不可食用部分,用刀具切成1.5 mm和5 ± 0.5 mm厚度的薄片。
 
热风干燥:将苹果切片置于干燥柜中,在45、55、65°C三个温度下干燥,空气流速恒定0.2 m/s。每隔30分钟将托盘取出称重并记录数据。干燥结束后,样品在室温下于干燥器中放置30分钟,再于4°C放置1小时,最后在-20°C冷却冻结。干燥过程中每30分钟测定抗氧化活性、总酚类化合物和颜色值。

 
 
GBX eFAst Lab水分活度仪
 
 
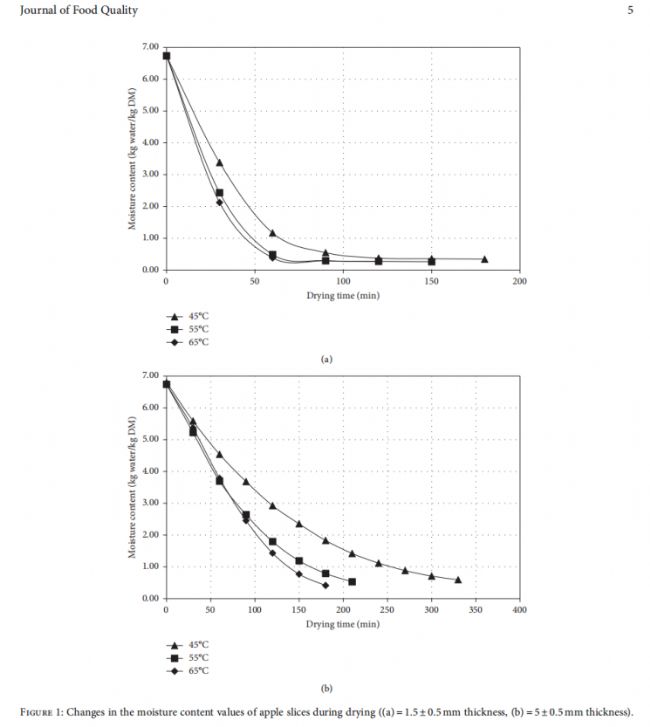
苹果切片干燥过程中含水量值的变化((a)=1.5 0.5 mm厚度,(b)=5 0.5 mm厚度)
 
 
苹果片干燥速率与含水量的变化关系((a)=1.5土0.5 mm厚度,(b)=5 0.5mm厚度)
 
解吸等温线建模:选用GAB、BET、Oswin、Henderson、Halsey模型。
 
提取液制备:取约2 g苹果样品研磨,加入10 mL 70%乙醇,超声处理10分钟,轨道摇床振荡15分钟,离心(10°C, 7450 rpm, 10分钟),取上清液,重复提取一次,合并后用70%乙醇定容至25 mL,-20°C保存。
 
抗氧化活性测定(DPPH法):DPPH甲醇工作液吸光度调至1.20 ± 0.02,Trolox制作标准曲线。取150 μL样品或标准品与2850 μL DPPH工作液混合,避光反应60分钟,515 nm读取吸光度。
 
总酚类化合物测定(Folin-Ciocalteu法):FC试剂按1:10稀释,碳酸钠溶液20%。没食子酸制作标准曲线(5-100 mg/L)。取2 mL样品或标准品,加10 mL稀释FC试剂,1-8分钟内加8 mL 20%碳酸钠,避光反应2小时,760 nm读取吸光度。
 
颜色测定:使用色差仪测量L、a、b值,计算色相角、彩度和总颜色变化ΔE。
 
降解动力学建模:采用零级、一级、二级反应动力学模型(公式7-9),计算反应速率常数k、Q₁₀值、半衰期t₁/₂和活化能E_a。
 
统计分析:实验设两个平行、三次重复,使用SPSS 20.0进行Duncan多重比较检验,p ≤ 0.05。

实验结论
干燥动力学
 
初始水分含量为6.74 kg水/kg干物质,初始水活度0.962。干燥后1.5 mm厚样品水活度为0.348(45°C)、0.278(55°C)、0.299(65°C);5 mm厚样品为0.425(45°C)、0.396(55°C)、0.353(65°C)。
干燥时间随温度升高和厚度减小而缩短:1.5 mm厚度干燥时间120-180分钟,5 mm厚度180-330分钟。65°C下1.5 mm样品从6.74降至0.27 kg水/kg干物质需120分钟。
Page模型拟合最佳(R² > 0.992),干燥均处于降速阶段。
D_eff值:1.5 mm厚度下为3.37E-07至4.29E-07 m²/s,5 mm厚度下为3.07E-06至4.31E-06 m²/s,随温度和厚度增加而增大。
活化能:1.5 mm厚度为10.56 kJ/mol,5 mm厚度为14.70 kJ/mol。
 
解吸等温线
 
GAB模型为最佳拟合模型(R²最高),k值随温度升高而增加,单层水分含量无一致趋势。
 
抗氧化活性与总酚类化合物
 
新鲜苹果切片抗氧化活性为289.24 μmol Trolox当量/100g DM,总酚类化合物为957.63 mg没食子酸当量/100g DM。
干燥后抗氧化活性损失约90%,总酚类化合物损失约55%。1.5 mm厚度、55°C条件下抗氧化活性最高(34.44 μmol TE/100g DM);45°C、1.5 mm条件下总酚类化合物最高(411.90 mg GAE/100g DM)。
降解动力学:5 mm厚度样品的抗氧化活性和总酚类化合物遵循一级反应;1.5 mm厚度抗氧化活性遵循二级反应,总酚类化合物遵循零级反应。
Q₁₀值显示65-55°C区间温度敏感性高于45-55°C区间。半衰期随温度升高而降低,随厚度增加而增加。总酚类化合物的活化能高于抗氧化活性。
 
总结
生产苹果脆片时,1.5 mm薄片干燥速度更快,生物化学品质保留更好。45°C低温比65°C更有利于保留抗氧化活性、酚类化合物和颜色。低温低厚度条件对保留苹果脆片零食的品质特性具有优势。该研究结果为苹果片干燥工艺中品质保持的条件选择提供了依据。

原文链接及参考文献
原文链接  
https://doi.org/10.1155/2023/7426793
 
参考文献
1. Rasooli Sharabiani, V., Kaveh, M., Abdi, R., Szymanek, M., & Tanaś, W. (2021). Estimation of moisture ratio for apple drying by convective and microwave methods using artificial neural network modeling. Scientific Reports, 11(1), 9155.  http://doi.org/10.1038/s41598-021-88703-9
 
2. Arora, B., Sethi, S., Joshi, A., Sagar, V. R., & Sharma, R. R. (2018). Antioxidant degradation kinetics in apples. Journal of Food Science and Technology, 55(4), 1306-1313.  http://doi.org/10.1007/s13197-018-3070-6

 
相关文章 更多 >