唐氏综合征(Down Syndrome,DS)孩子是否一定会得阿尔茨海默病(Alzheimer’s Disease,AD)是许多家庭的心病。医学证实,所有DS患者40岁前会出现完整AD病理,70岁的发病风险超90%,远高于普通人。2025 年《Alzheimer's & Dementia》的一项研究带来希望:依托Simoa平台检测血浆 P-tau212,可关联DS相关AD(DSAD)与散发性AD,还能提前15年锁定风险,助力“早发现、早干预”。
01 为什么唐氏综合征会和阿尔茨海默病“绑定”?
唐氏综合征由21号染色体三倍体引发,其 DYRK1A 基因过量表达的激酶,会促使大脑tau蛋白在苏氨酸212位点磷酸化形成P-tau212。P-tau212会加速tau蛋白聚集形成神经原纤维缠结、降低tau与微管结合能力并增加细胞毒性,是串联DS与AD的“桥梁标志物”,也是破解DSAD发病机制的关键。
02 P-tau212结合Simoa技术:重新定义阿尔茨海默病检测
研究人员采用Simoa技术,分析了245份血浆样本和114份匹配脑脊液样本,覆盖无症状唐氏综合征(aDS)、前驱期 DSAD(pDS)、DSAD 痴呆期(dDS),以及散发性 AD 患者和认知正常人群。
1、预警够早:早于症状出现15年
研究发现,P-tau212 在患者出现临床症状前约15年就会升高。当患者大脑进入淀粉样蛋白PET阳性阶段(AD早期病理标志)时,P-tau212已明显上升,比常用的P-tau181标志物早了整整5年(如图1)。

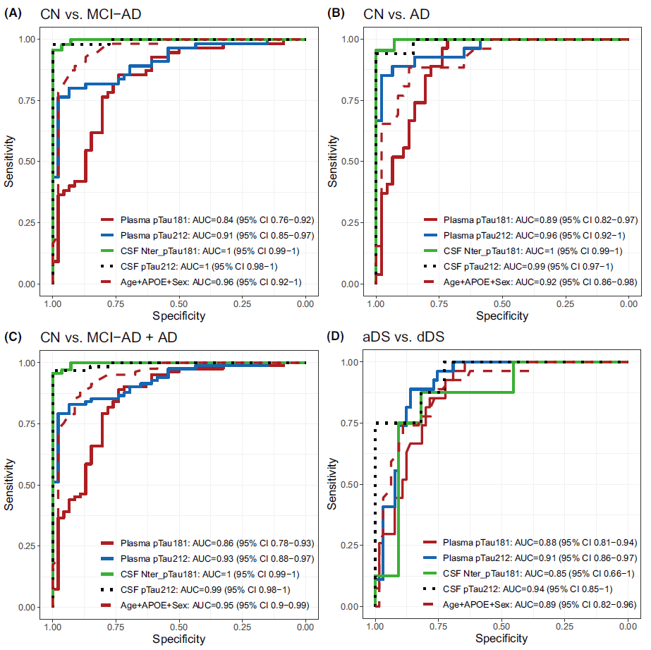
DS和对照组中血浆P-tau212和P-tau181变化
2、无创便捷:一管血抵脑脊液,筛查更轻松
以往靠腰椎穿刺取脑脊液或 PET 显像诊断AD难以普及,而P-tau212可彻底解决此难题:血浆与脑脊液P-tau212 相关性高达0.712,DS人群中更高至0.867,抽一管血即能接近脑脊液检测的准确性,这为需长期随访的DS患者减轻身心负担。
3、精准度拉满:区分疾病阶段,准确率超 90%
无论是DS相关AD还是散发性AD,P-tau212均能精准区分(如图2):DS患者中,其区分aDS与dDS的AUC值达0.91,无症状患者P-tau212水平比健康人高2.4倍;散发性AD中,其区分认知正常人群与AD痴呆患者、认知正常人群与轻度认知障碍患者的AUC值分别为0.96、0.91,均显著优于P-tau181,故P-tau212诊断AD和DSAD准确性更高,尤其在区分疾病阶段时表现出色。
血浆和脑脊液生物标志物的诊断准确性
4、治疗监测:加速AD 药物研发
目前针对DYRK1A激酶的AD药物已进入研发阶段,而通过Simoa平台动态监测患者血浆P-tau212变化,能直观判断药物是否起效。同时,在AD药物临床试验中快速筛选出AD病理改变的患者,提升试验效率以加速有效药物落地。
Simoa平台检测P-tau212让AD防控从“无计可施”迈向“精准预警”,为唐氏综合征家庭带来 “留住记忆” 的希望,未来或只需一管血就能筑起抵御 “记忆流失”的防线,让陪伴更长久安心。
参考文献:
Kac PR, Alcolea D, Montoliu-Gaya L, Fernández S, Rodriguez JL, Maure L, González-Ortiz F, Benejam B, Turton M, Barroeta I, Harrison P, Videla L, Ashton NJ, Lleó A, Zetterberg H, Carmona-Iragui M, Karikari TK, Fortea J, Blennow K. Plasma p-tau212 as a biomarker of sporadic and Down syndrome Alzheimer's disease. Alzheimers Dement. 2025 Apr;21(4):e70172. doi: 10.1002/alz.70172.